越南中央动物药业股份公司(Navetco)研发和生产的非洲猪瘟疫苗的商品名为 NAVET-ASFVAC,在6月3日越南对外公布该项疫苗的生产成果,并且颁布该疫苗的上市许可,该消息报道一出,引起了全世界范围内无论是猪只传染病还是养殖方面同行专家的一阵讨论热潮;而疫苗上市首要考虑问题是安全性问题,而在Viruses上发表的《Evaluation of the Safety Profile of the ASFV Vaccine Candidate ASFV-G-ΔI177L》就是针对该疫苗安全性所做的研究,而以下是对该文章结果部分的汇总分析。
该文章从接种ASFV-G-I177L接种后排毒情况及传播评价、实验猪和未接种混饲猪血液中病毒测定和抗体转阳率、ASFV-G-I177接种过量试验(接种疫苗1倍、5倍10倍后看临床症状)、ASFV-G-I177疫苗在猪上连续传代5次的体温变化和病毒滴度等四个方面对ASFV-G-I177L疫苗进行安全评价。
01接种ASFV-G-I177L疫苗猪和未接种猪排毒情况及传播评价
PCR检测ASFV-G-I177L感染动物血液和鼻拭子中病毒基因组(I1–I4)和未接毒同居接触动物(C1–C5)。结果表示为负值(N)或Ct值。
疫苗接种28天后疫苗接种猪(I1–I4)和同居猪(C1–C5)鼻腔分泌物内仍能检测到病毒,直至28天实验结束发生了同居猪感染,且同居猪对外界排毒。
02实验猪和未接种混饲猪血液中病毒测定和抗体转阳率
本项项实验使用了10周大的动物接种ASFV-G-I177疫苗,一组为接种后的猪与未接种的猪混养,一组为空白对照。通过PCR(表达为阴性(N)或Ct值(ND:未确定))和病毒特异性抗体(表达为阴性(N)或阳性(P)值)在对照动物或与接种ASFV-G的IM混合的未接触动物的血液中检测病毒基因组。
实验结果表明:在接种一百只猪之后,在第48天抽25只动物检测抗体水平,有一只仍是阴性,证明了该疫苗存在接种失败的风险;混合接触组中50%(5/10)的猪ELISA抗体检测呈阳性,30%猪只在PCR核酸检测中核酸呈阳性,实验中有一头混合饲养猪在PCR检测中病毒Ct值为21.14,为高病毒载量,但是抗体检测中呈阴性。该实验数据证明接种ASFV-G-I177疫苗的猪只对混饲未接种健康猪存在水平传播ASF的风险,并且在疫苗毒传播后会导致混饲猪高病毒血症。
下图为该项实验结果:
03ASFV-G-I177接种过量试验(接种疫苗1倍、5倍、10倍后看临床症状)
评估了接种三个剂量ASFV-G-I177L的7至8周大的动物是否存在局部和全身疾病。
结果表明,除第二组中仅两只动物在第11天和第12天进行为期两天的治疗外,观察了28天pi的动物均未出现任何与ASF相关的临床症状。因此,在79只接种不同剂量ASFV-G-I177L的动物中,无一例出现ASF的病理学临床体征。在这些实验中偶尔观察到的轻微临床症状(咳嗽和软便)总是在一小部分动物中短暂出现。同样,体温峰值的轻微升高也暂时表明ASFV-G-I177L接种于幼猪时,没有明显的局部或全身副作用。
下图为三个剂量温度曲线:
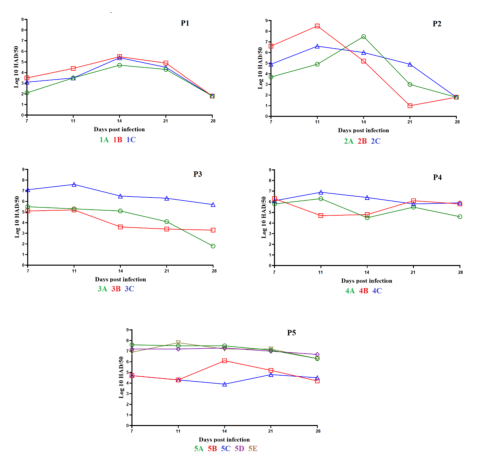
04ASFV-G-I177疫苗在猪上连续传代5次的体温变化和病毒滴度
本项实验旨在分析减毒活疫苗ASFV-G-I177L的潜在毒性逆转在不同猪群中连续回传后,可出现更具毒力的表型,并具有疫苗病毒库的遗传稳定性。该研究包括ASFV-GI177L的连续传代6-8周龄猪中的主种子病毒。前四组包括三只猪(分别命名为A、B和C),而第五组包括五只动物(分别命名为A、B、C、D和E)。
下图为不同代次组猪只温度变化情况:
下图为接种ASFV-G-I177L连续5代(分别为P1~P5组)的动物体内病毒血症滴度的变化。数据以不同组中每只接种动物的病毒滴度的个体值(以HAD50/mL表示)表示。
上述实验结果表明在越南新上市非洲猪瘟弱毒疫苗在使用方面可能存在水平传播的风险,并且随着代次的增加,病毒滴度不下降,且子代越来越稳定的情况,而该疫苗毒水平传播的情况可能会给猪场生物安全方面带来较大的威胁,给非洲猪瘟防控带来一定的难度和挑战。所以该上市疫苗有效性以及安全性有待进一步研究。
原标题:Evaluation of the Safety Profile of the ASFV Vaccine Candidate ASFV-G-ΔI177L
声明:河南畜牧兽医信息网刊登的文章仅代表作者个人观点,文章内容仅供参考,并不构成投资建议,据此操作,风险自担。如果转载文章涉嫌侵犯您的著作权,或者转载出处出现错误,请及时联系文章编辑进行修正(电话:0371-65778965 )。河南畜牧兽医信息网原创文章,转载请注明出处及作者。感谢您的支持和理解!