其他
河南畜牧兽医信息网

玉米换麸皮,猪肉更鲜香!
粗纤维替代方案破解蛋白饲料短缺难题
 来源:🔗猪业科学  2026-01-15 11:38  点击:579

我国拥有的蛋白质饲料原料非常少,绝大多数都依靠国外引进,其中豆粕的进口量和大豆的进口量是全世界最高的。但随着近年来中美之间贸易战持续升温,豆粕的进口价格又被美国控制,价格一直处于持续增长状态,使得我国的蛋白质饲料资源更加稀缺,给我国养殖行业带来了很大的压力。猪对氨基酸的需求量会随着不同生长发育时期而不一样,尽管高蛋白饲料富含大量氨基酸,但过量摄入的蛋白质最终还是会被代谢分解成氮,并随着排泄物释放,不仅对环境造成污染,还降低了蛋白质的利用率。因此,采用低蛋白饲料配方既可以有效解决如豆粕等植物性蛋白质原料的短缺,又可以减轻对环境造成的负担。

 

本试验通过用麸皮替换掉饲粮中部分比例玉米原料,从猪肉中风味氨基酸变化的角度,检测不同粗纤维含量的饲粮对猪肉的风味和口感是否有影响,来验证用粗纤维替代部分蛋白原料方案的可行性。

 

1 材料与方法

 

1.1 试验设计

 

本试验所采用的饲料原料均由江苏世昌农牧集团有限公司供应。采用3个粗纤维水平,即对照组粗纤维水平为3.78%,试验组1粗纤维水平为4.32%,试验组2粗纤维水平为4.86%。

 

1.2 试验猪及饲养管理

 

本试验在淮安市农科院试验猪场进行,试验猪选择活力稳定、外表健康、平均质量相近的35日粮断大白猪仔猪,把它们随机划分为三个组别,每个组别包含两次重复试验,每次重复试验涉及五只猪。在试验开始之前,对猪圈进行彻底的免疫处理和消毒工作,同时对试验猪进行称重与个体编号。各组猪被分别饲喂含有不同水平粗纤维的饲料。喂食过程每天进行两次,分别在上午8点和下午4点。每组的重复试验猪均饲养在同一猪圈内,确保猪圈维持适宜的通风、清洁和干燥条件。试验猪可自由获取食物和水源。所有组别的饲养管理措施保持一致,整个饲养期为120 d。

 

1.3 样品制备

 

试验结束后,每组中随机挑选5头试验猪空腹12 h,按屠宰场规范化流程屠宰,取背最长肌,105℃烘箱烘干至恒重,用于测定氨基酸组分。

 

1.4 样品前处理

 

称取样品0.1 mg于试管中,用10 mL 6N盐酸(含1%苯酚0.5 mL)消化,并用pH为2.2的0.1M盐酸溶液,在超声条件下溶解。

 

1.5 氨基酸标准溶液制备

 

精确称量三种选定的氨基酸标准物质,即谷氨酸、天冬氨酸和甘氨酸,每种10 mg,依次制备出浓度为50、100、200、300、400和500 mg/L的氨基酸混合标准溶液。

 

1.6 流动相液体的制备

 

制备0.1 mol/L的乙酸钠缓冲液作为流动相A和80%乙腈溶液作为流动相B,使用超声技术来去除溶液中的气泡。

 

1.7 待测样品和标准样品柱前衍生化处理

 

合成衍生试剂A(0.1 mol/L的异硫氰酸苯酯乙腈溶液)和衍生试剂B。所得的滤液可用高效液相色谱(HPLC)进行分析,检测时选择254 nm的波长进行监测。

 

1.8 数据处理与分析  

 

首先,使用Excel程序对收集到的原始数据进行初步的整理和分类。随后,引入SPSS 18.0软件来执行单因素方差分析(One-Way ANOVA)。

 

2 结果与分析

 

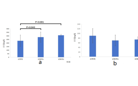
结果如下图1所示,根据谷氨酸标准物质的峰面积及浓度,算出每组中谷氨酸的含量,结果如图1(a)所示,随着粗纤维含量的增加,在肌肉样品中观察到谷氨酸的含量呈现上升趋势。总的来说,试验组2的谷氨酸的含量要极显著高于对照组(P<0.01),试验组1中谷氨酸的含量显著高于对照组(P<0.05)。

 

根据天冬氨酸标准物质的峰面积及浓度,算出每组中天冬氨酸的含量,结果如图1(b)所示,随着纤维素含量的增加,对照组中天冬氨酸的含量高于试验组1和试验组2,但差异不显著(P>0.05)。

 

通过测定甘氨酸标准物质的色谱峰面积及其浓度,算出每组中甘氨酸的含量,结果如图1(c)所示,肌肉样品中的甘氨酸含量随着粗纤维含量的提高而上升。特别是试验组2的甘氨酸含量与对照组相比,呈现出极其显著的差异(P<0.01),而试验组1中甘氨酸的含量也显著高于对照组(P<0.05)。

 

图1  不同粗纤维添加量饲料对猪肉中谷氨酸、天冬氨酸、甘氨酸含量的影响

 

注:a为谷氨酸,b为天冬氨酸,c为甘氨酸

 

3 讨论

 

猪肉的品质在很大程度上取决于其风味和口感,这同样是消费者评价肉类食品品质及可接受度的关键感官特性。猪肉风味是由风味前体物通过一系列物理化学反应而产生,这一过程主要涉及两个方面:首先,非挥发性的风味物质通过激活舌头上的味觉感受器来引发味觉感知;其次,挥发性的风味物质则通过激发鼻腔内的嗅觉受体来触发香气感知。许多游离氨基酸、盐、核苷酸、脂肪酸是猪肉中主要的风味前体物。天冬氨酸、谷氨酸、甘氨酸、丙氨酸、酪氨酸和苯丙氨酸均被认为是赋予食物特定味道的氨基酸,它们在食品风味的形成中起着典型和关键的作用。广泛存在于多种食品中的谷氨酸和天冬氨酸,作为游离氨基酸扮演着关键角色,它们是鲜味和酸味的主要贡献者。这两种氨基酸的功能与谷氨酸钠(即味精)相似,均有助于提升食物的味道。在味觉感知中,甘氨酸和丙氨酸主要与甜味的感受相关联,酪氨酸和苯丙氨酸则通常与苦味的感知相联系。本研究用部分麸皮原料替代玉米原料,旨在研究不同粗纤维添加量饲料对猪肉部分呈味氨基酸是否会产生影响。

 

有研究表明,发酵饲料可以提高猪肉中甘氨酸、丙氨酸、天冬氨酸、谷氨酸的含量。本研究表明,仔猪摄食不同粗纤维含量的日粮,天冬氨酸,甘氨酸的积累量存在差异。其中谷氨酸的浓度最高。同时,谷氨酸和甘氨酸的含量显著增加,特别是在试验组2中,这两种氨基酸的浓度均极显著高于对照组(P<0.01)。天冬氨酸在各组间的差异均不显著(P>0.05)。以上可表明,摄食粗纤维含量高的饲粮可以提高猪肉中部分呈味氨基酸的含量。此外谷氨酸和甘氨酸在猪肉肌浆中不仅贡献着鲜味,还与肌苷酸盐、鸟苷酸盐以及特定的肽类物质相互作用,从而产生协同作用增强风味效果。 

 

4 结论

 

在本研究中,用部分麸皮原料代替生长猪日粮中的部分玉米原料,当日粮中纤维比例4.86%时,能通过提高猪肉呈味氨基酸谷氨酸和甘氨酸的含量,从而提升猪肉口感,并从源头节约蛋白质原料。

 编辑:张光磊

声明:河南畜牧兽医信息网刊登的文章仅代表作者个人观点,文章内容仅供参考,并不构成投资建议,据此操作,风险自担。如果转载文章涉嫌侵犯您的著作权,或者转载出处出现错误,请及时联系文章编辑进行修正(电话:0371-65778965 )。河南畜牧兽医信息网原创文章,转载请注明出处及作者。感谢您的支持和理解!